水参与整个制药生产工艺流程,直接影响药品质量,关系到人类的健康。纯化水作为制药生产过程中的重要原料和组成,对药品质量有至关重要的作用。因此,纯化水的检测尤为重要,本文整理了关于纯化水的相关知识。
普通的水含有多种离子,如钠离子、氯离子等,一些在化学或物理领域需要极其纯净的不能含任何离子的水,普通水无法满足一些化学反应的需要,于是通过一些设备将水中的离子去掉,所得产物就是纯化水。
纯化水指以饮用水为原水,经过蒸馏法、离子交换法、反渗透法或其他适宜方法去除水中杂质、离子、悬浮物等后得到的工艺用水,其不含任何附加剂。性状:为无色的澄明液体;无臭,无味。
《中国药典》2020年版
★酸碱度
取本品10ml,加甲基红指示液2滴,不得显红色;另取10ml,加溴麝香草酚蓝指示液5滴,不得显蓝色。
★硝酸盐
取本品5ml置试管中,于冰浴中冷却,加10%氯化钾溶液0.4ml与0.1%二苯胺硫酸溶液0.1ml,摇匀,缓缓滴加硫酸5ml,摇匀,将试管于50℃水浴中放置15分钟,溶液产生的蓝色与标准硝酸盐溶液[取硝酸钾0.163g,加水溶解并稀释至100ml,摇匀,精密量取1ml,加水稀释成100ml,再精密量取10ml,加水稀释成100ml,摇匀,即得(每1ml相当于1μgNO3)]0.3ml,加无硝酸盐的水4.7ml,用同一方法处理后的颜色比较,不得更深(0.000 006%)。 
★亚硝酸盐
取本品10ml,置纳氏管中,加对氨基苯磺酰胺的稀盐酸溶液(1→100)1ml与盐酸萘乙二胺溶液(0.1→100)1ml,产生的粉红色,与标准亚硝酸盐溶液[取亚硝酸钠0.750g(按干燥品计算),加水溶解,稀释至100ml,摇匀,精密量取1ml,加水稀释成100ml,摇匀,再精密量取1ml,加水稀释成50ml,摇匀,即得(每1ml相当于1μgNO2)]0.2ml,加无亚硝酸盐的水9.8ml,用同一方法处理后的颜色比较,不得更深(0.000 002%)。 
★氨
取本品50ml,加碱性碘化汞钾试液2ml,放置15分钟;如显色,与氯化铵溶液(取氯化铵31.5mg,加无氨水适量使溶解并稀释成1000ml)1.5ml,加无氨水48ml与碱性碘化汞钾试液2ml制成的对照液比较,不得更深(0.000 03%)。 
★电导率  
可使用在线或离线电导率仪,记录测定温度。在表1中,测定温度对应的电导率值即为限度值。如测定温度未在表1中列出,则应采用线性内插法计算得到限度值。如测定的电导率值不大于限度值,则判为符合规定;如测定的电导率值大于限度值,则判为不符合规定。

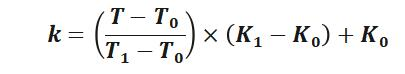
内插法的计算公式为:

  式中k为测定温度下的电导率限度值;k1为表1中高于测定温度的最接近温度对应的电导率限度值;k0为表1中低于测定温度的最接近温度对应的电导率限度值;T为测定温度;T1为表1中高于测定温度的最接近温度;T0为表1中低于测定温度的最接近温度。
★总有机碳  
不得过0.50mg/L。 
★易氧化物  
取本品100ml,加稀硫酸10ml,煮沸后,加高锰酸钾滴定液(0.02mol/L)0.10ml,再煮沸10分钟,粉红色不得完全消失。 
以上总有机碳和易氧化物两项可选做一项。
★不挥发物
取本品100ml,置105℃恒重的蒸发皿中,在水浴上蒸干,并在105℃干燥至恒重,遗留残渣不得过1mg。重金属  取本品100ml,加水19ml,蒸发至20ml,放冷,加醋酸盐缓冲液(pH3.5)2ml与水适量使成25ml,加硫代乙酰胺试液2ml,摇匀,放置2分钟,与标准铅溶液1.0ml加水19ml用同一方法处理后的颜色比较,不得更深(0.000 01%)。 
★微生物限度
取本品不少于1ml,经薄膜过滤法处理,采用R2A琼脂培养基,30~35℃培养不少于5天,依法检查(通则1105),1ml供试品中需氧菌总数不得过100cfu。
